
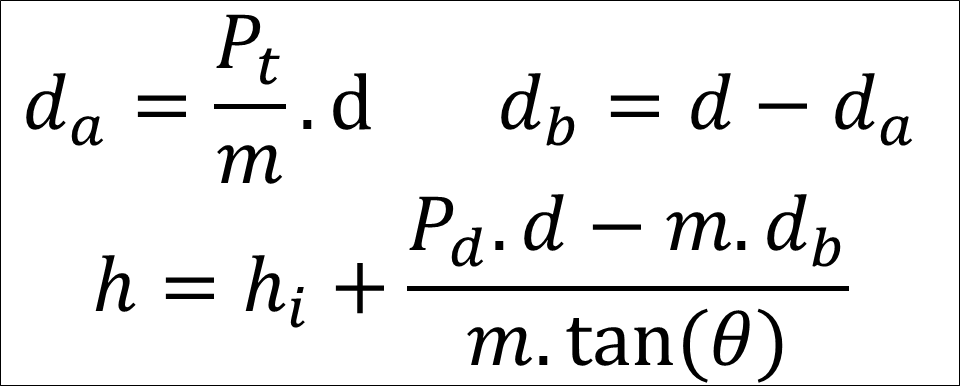
CENTRO DE MASA

Saídas:
Saídas:
REFERENCIA: DAILY, John; SHIGEMURA, Nathan; DAILY, Jeremy. Fundamentals of traffic crash reconstruction.
Vol 2, 6ª ed. Jacksonville, Flórida-EUA: UNF, 2014.(Pg 213)