
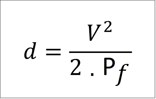
ESPACIO DE FRENADA

REFERENCIA: DAILY, John; SHIGEMURA, Nathan; DAILY, Jeremy. Fundamentals of traffic crash reconstruction.
Vol 2, 6ª ed. Jacksonville, Flórida-EUA: UNF, 2014. (Pg 389)


REFERENCIA: DAILY, John; SHIGEMURA, Nathan; DAILY, Jeremy. Fundamentals of traffic crash reconstruction.
Vol 2, 6ª ed. Jacksonville, Flórida-EUA: UNF, 2014. (Pg 389)