
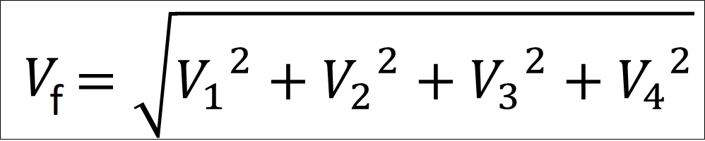
SUMATORIA DE VELOCIDADES
Tipo de velocidad:
REFERENCIA: ALMEIDA, Lino Leite. Manual de Pericias en Accidentes de Tránsito.
Campinas-SP: Millennium, 2011. (pag.117)
COMENTARIOS:
Tipo de velocidad:
Tipo de velocidad:
REFERENCIA: ALMEIDA, Lino Leite. Manual de Pericias en Accidentes de Tránsito.
Campinas-SP: Millennium, 2011. (pag.117)