
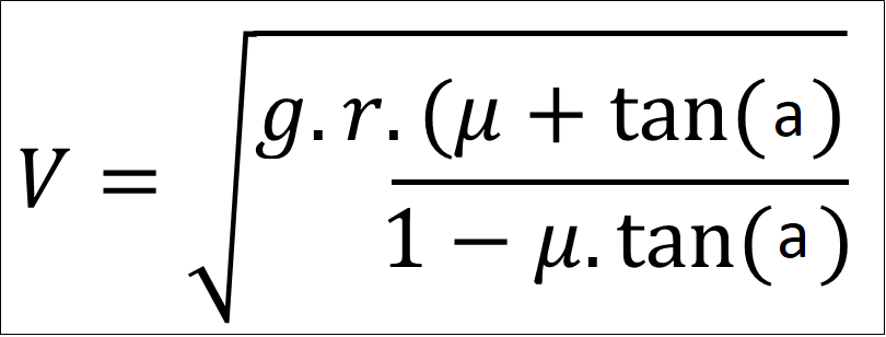
VELOCIDAD CRÍTICA EN CURVAS
(0 = sin peralte)
Tipo de velocidad:
REFERENCIA: DAILY, John; SHIGEMURA, Nathan; DAILY, Jeremy. Fundamentals of traffic crash reconstruction.
Vol 2, 6ª ed. Jacksonville, Flórida-EUA: UNF, 2014.(Pg 459)
COMENTARIOS:
(0 = sin peralte)
Tipo de velocidad:
Tipo de velocidad:
REFERENCIA: DAILY, John; SHIGEMURA, Nathan; DAILY, Jeremy. Fundamentals of traffic crash reconstruction.
Vol 2, 6ª ed. Jacksonville, Flórida-EUA: UNF, 2014.(Pg 459)