
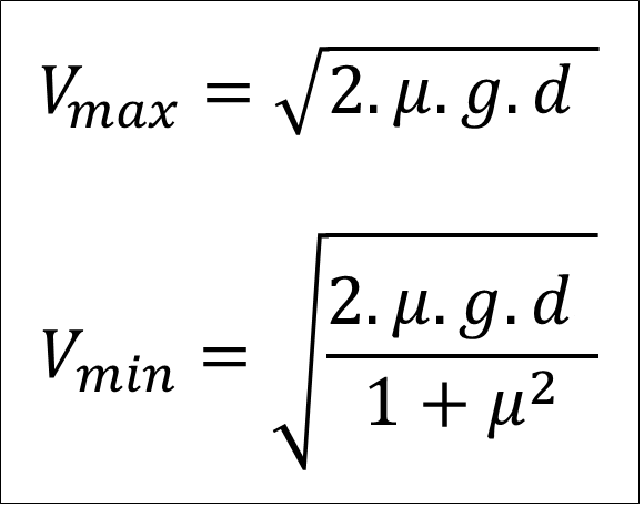
VELOCIDAD POR PROYECCION DE PEATONES (SEARLE)

u: Coeficiente de Arrastre para:
Vehículo de
Embestido
Tipo de Velocidad:
Velocidad:
u: Coeficiente de Arrastre para:
Vehículo de
Embestido
Tipo de Velocidad:
Velocidad:
Tipo de Velocidad:
Velocidad:
REFERENCIA: SEARLE, John A. e SEARLE, Angela. The trajectories of pedestrian, motorcycles, motorcyclist,etc.,
folowin a road accident (SAE 831622). Warrendale, PA, USA.